Любая школьная программа включает в себя такой предмет как геометрия. Каждый из нас, будучи учеником, изучал данную дисциплину и решал определенные задачи. Но для многих людей школьные годы остались позади и часть приобретенных знаний стерлась из памяти.
А что делать, если у вас вдруг возникла необходимость найти ответ на какой-то вопрос из школьного учебника, например, как найти высоту в прямоугольном треугольнике? В этом случае современный продвинутый пользователь компьютера первым делом откроет интернет и отыщет интересующую его информацию.
Основная информация о треугольниках
Данная геометрическая фигура представляет собой 3 отрезка, соединенных между собой в конечных точках, при чем места соприкосновения этих точек не находятся на одной прямой. Отрезки, из которых состоит треугольник, называются его сторонами. Места соединения сторон образуют вершины фигуры, а также ее углы.
Типы треугольников в зависимости от углов
Данная фигура может обладать тремя видами углов: острыми, тупыми и прямыми. В зависимости от этого среди треугольников различают следующие разновидности:
- Остроугольный – это тот, в котором все стороны, соприкасаясь в вершинах, образуют углы размером менее 90º.
- Тупоугольный – это фигура, которая имеет 1 угол более 90º. Его называют тупым, а 2 остальных угла в таком треугольнике имеют величину меньше 90º.
- Прямоугольный – у такой фигуры две стороны в месте соприкосновения образуют угол с показателем ровно 90º.

Типы треугольников в зависимости от длины сторон
Как было сказано ранее, данная фигура образуется из трех отрезков. Исходя из их размера, выделяют следующие виды треугольников:
- Равносторонние – это такие, у которых длина каждой из сторон имеет одинаковую величину. Подобные треугольники еще называют «правильными».
- Равнобедренные – у данных геометрических фигур лишь 2 стороны равны между собой.
- Разносторонние – в таких треугольниках каждый из 3 отрезков, образующих стороны, имеет разную длину.

Как найти высоту прямоугольного треугольника
Две одинаковые стороны прямоугольного треугольника, образующие прямой угол в месте своего соприкосновения, называются катетами. Отрезок, который их соединяет, носит название «гипотенуза». Чтоб найти высоту в данной геометрической фигуре, необходимо опустить линию из вершины прямого угла на гипотенузу. При этом данная линия должна делить угол в 90º ровно пополам. Такой отрезок называют биссектрисой.
На картинке выше представлен прямоугольный треугольник, высоту которого нам придется вычислить. Это можно сделать несколькими способами:
- Величину этого показателя можно посчитать по одной из следующих формул:


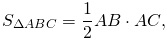
- Можно использовать другой способ и найти высоту через площадь фигуры. Итак, площадь треугольника рассчитывается по формуле:
Исходя из этого, выводим формулу для нашего конкретного случая:
После этого мы можем вычислить высоту:
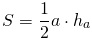
- Поскольку площадь подобной фигуры являет собой ½ от произведения катетов, в вычислениях нам помогут следующие формулы:


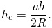
- Если мы представим равные стороны как a и b, а отрезок, соединяющий их, как с, то у нас получится такая формула:

Если начертить вокруг треугольника окружность и провести радиус, его величина будет вполовину меньше величины гипотенузы. Исходя из этого, высоту прямоугольного треугольника можно посчитать по формуле:![]()
В этой статье мы рассказали, как рассчитать высоту прямоугольного треугольника разными способами. В зависимости от того, какие величины вам даны в исходном задании, вы можете выбрать для себя наиболее подходящий вариант вычислений.


